Муниципальное бюджетное дошкольное образовательное учреждение детский сад «Солнышко» дер. Нижнее Колчурино Алькеевского муниципального района РТ»
Визитная карточка
| Адрес: | 422873, Республика Татарстан, Алькеевский район, д. Нижнее Колчурино, ул. Пролетарская д.46 |
| Телефон: | 89276797000 |
| E-Mail: | Solnyshko.Ds.alk@tatar.ru |
| Министерство: | Министерство образования и науки Республики Татарстан |
| Короткое название: | МБДОУ детский сад "Солнышко" д. Нижнее Колчурино |
| Руководитель: | Смирнова Маргарита Анатольевна |
| Год основания учреждения: | 2023 |
| У нас учатся: | 9 воспитанников (иностранные граждане отсутствуют) |
| У нас учат: | 1 педагог |
Финансово-хозяйственная деятельность (Финанс-хуҗалык эшчәнлеге)
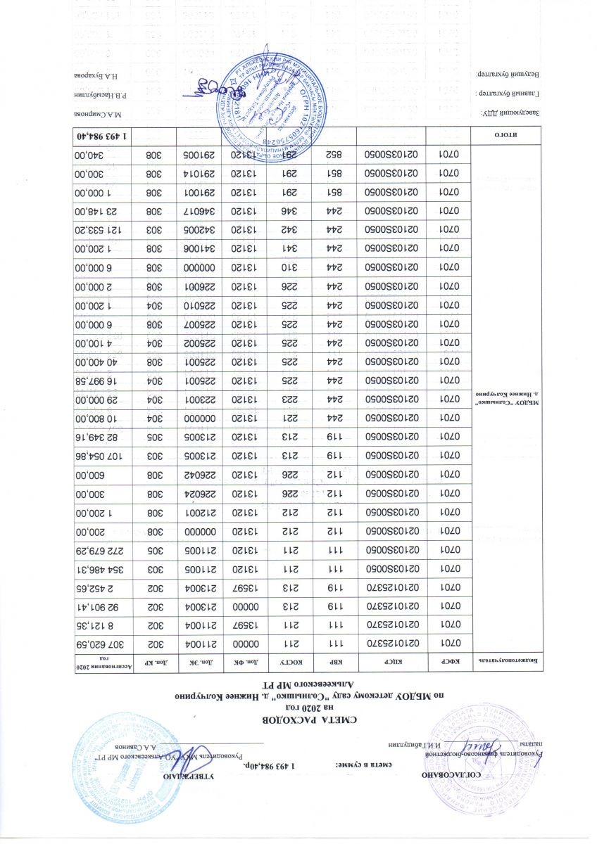
План финансово- хозяйственной деятельности на 2020 год
Штатное расписание








