• Информируем вас, что с 1 января 2024 года оценки и расписание доступны в новой версии Электронного образования по адресу ms-edu.tatar.ru. В данной версии электронного дневника вы можете продолжать смотреть ранее полученные оценки.
    С более подробной информацией можно ознакомиться на сайте: info.edu.tatar.ru.

Электронное образование Республики Татарстан

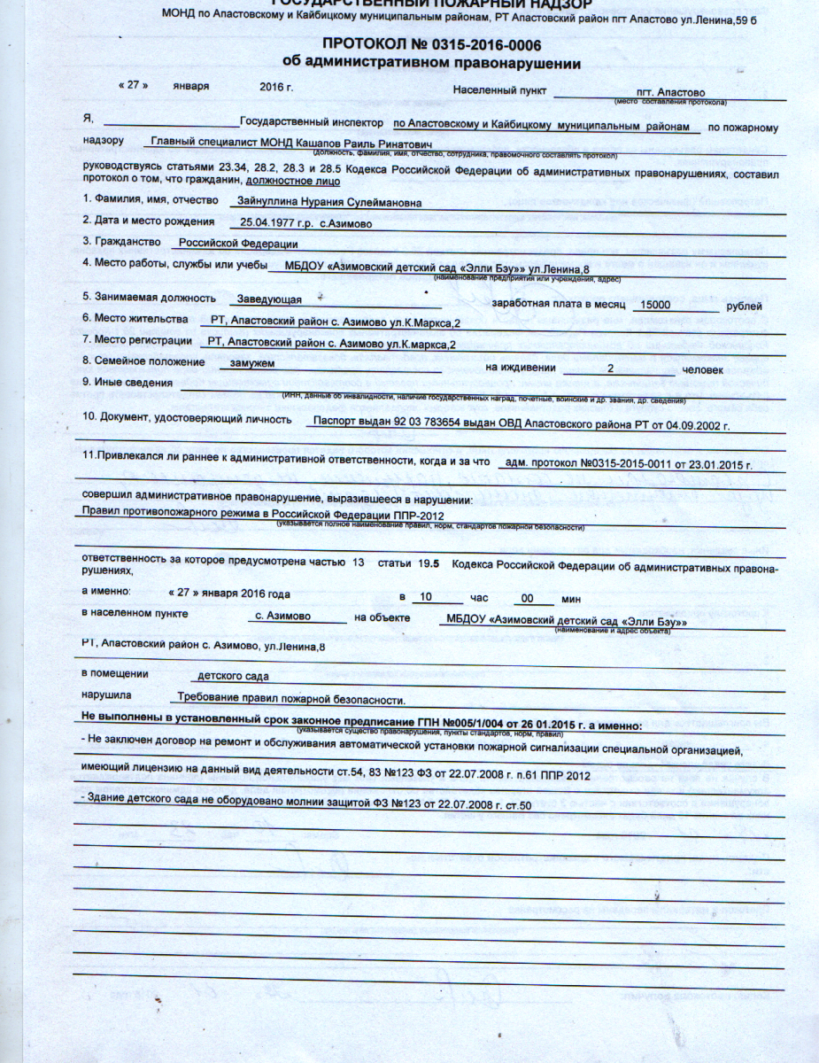
Муниципальное бюджетное дошкольное образовательное учреждение «Азимовский детский сад «Элли-бэу» Апастовского муниципального района РТ/ Татарстан Республикасы Апас муниципаль районы муниципаль бюджет мәктәпкәчә белем бирү учреждениесе "Әҗем "Әлли-бәү" балалар бакчасы.

Решаем вместе
Есть предложения по организации учебного процесса или знаете, как сделать школу лучше?

Визитная карточка

Адрес: 422359, Республика Татарстан, Апастовский район, д. Азимово, ул. Ленина, д. 8
Телефон: (8843)-39-6-25
E-Mail: guzel1998@inbox.ru
Министерство: Министерство образования и науки Республики Татарстан
Короткое название: МБДОУ " Азимовский детский сад "Элли-бэу"
Руководитель: Зайнуллина Нурания Сулеймановна
Год основания учреждения: 1990
У нас учатся: 3
У нас учат: 1