муниципальное бюджетное дошкольное образовательное учреждение "Новосережкинский детский сад" МО "ЛМР" муниципального образования "Лениногорский муниципальный район" РТ
Визитная карточка
| Адрес: | 423291, Республика Татарстан, Лениногорский район, с. Новое Сережкино, ул. Школьная, д. 6 строение1, строение2. |
| Телефон: | (885595)3-73-30 |
| E-Mail: | douseregkino@mail.ru |
| Министерство: | Министерство образования и науки Республики Татарстан |
| Короткое название: | МБДОУ "Новосережкинский детский сад" |
| Руководитель: | Алексеева Ольга Владимировна |
| Год основания учреждения: | 1993 |
| У нас учатся: | 2 |
| У нас учат: | 1 |
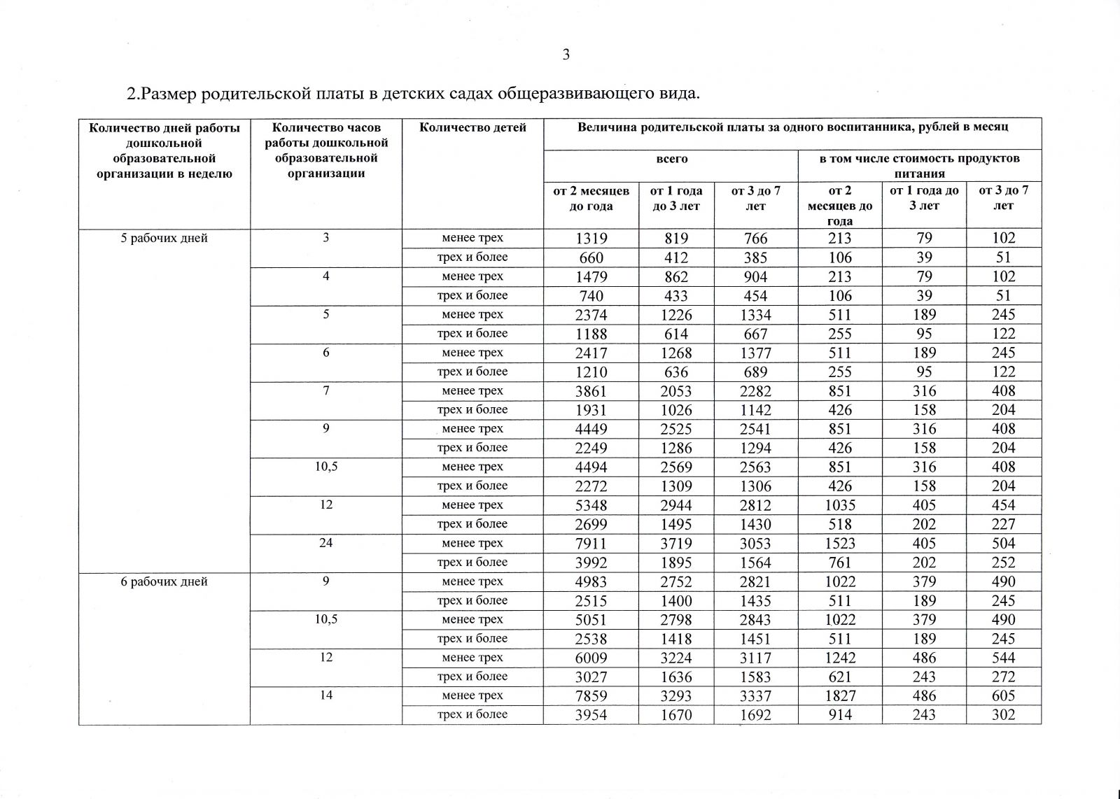
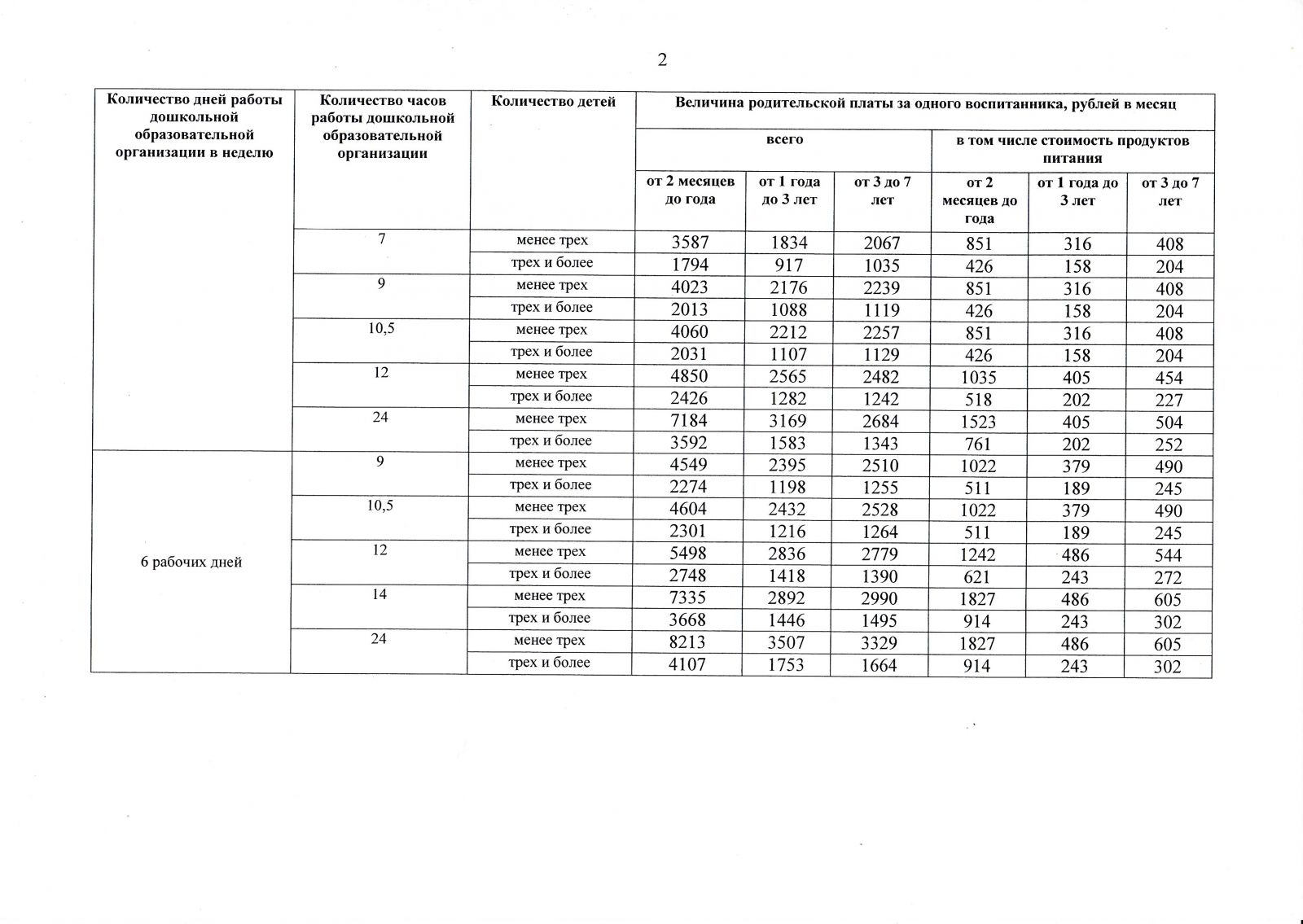
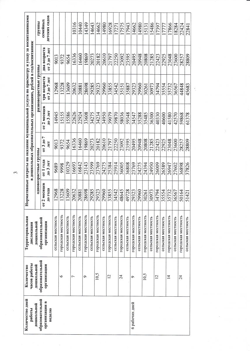
Нормативные затраты
/upload/storage/org4050/files/постановление 1(5).jpg
/upload/storage/org4050/files/П 2(1).jpg
/upload/storage/org4050/files/нор зат 1(2).jpg
/upload/storage/org4050/files/н з 2.jpg
/upload/storage/org4050/files/н з3.jpg
/upload/storage/org4050/files/н з 4.jpg
/upload/storage/org4050/files/н з 5.jpg
/upload/storage/org4050/files/н з 6.jpg
/upload/storage/org4050/files/н з 7.jpg
/upload/storage/org4050/files/н з 8.jpg
/upload/storage/org4050/files/н з 9.jpg
/upload/storage/org4050/files/н з 11.jpg
/upload/storage/org4050/files/н з 12.jpg
/upload/storage/org4050/files/н з 13.jpg
/upload/storage/org4050/files/н з 14.jpg






