МБОУ «Средняя общеобразовательная школа №37 с углубленным изучением отдельных предметов» г. Набережные Челны
Визитная карточка
| Адрес: | 423826, Республика Татарстан, г. Набережные Челны, пр. Сююмбике, д.103 (51/12)/Яр Чаллы шәһәре, Сөембикә проспекты, 103 нче йорт |
| Телефон: | +7(855)-242-56-25 |
| E-Mail: | S37.Nc@tatar.ru, sch37_chelny@mail.ru |
| Министерство: | Министерство образования и науки Республики Татарстан |
| Короткое название: | МБОУ "СОШ №37 с углубленным изучением отдельных предметов " |
| Руководитель: | Ахметзянова Лейсан Фаридовна |
| Год основания учреждения: | 1981 |
| У нас учатся: | 886 учащихся/укучы |
| У нас учат: | 50 педагога/педагог |
Финансо-хозяйственная деятельность
Условия питания и охраны здоровья обучающихся
Информация об объеме образовательной деятельности (субсидии на гос. задание)
Информация об объеме образовательной деятельности (субсидии на иные цели)
Информация об объеме образовательной деятельности (приносящая доход деятельности)
Показатели по поступлениям муниципального учреждения
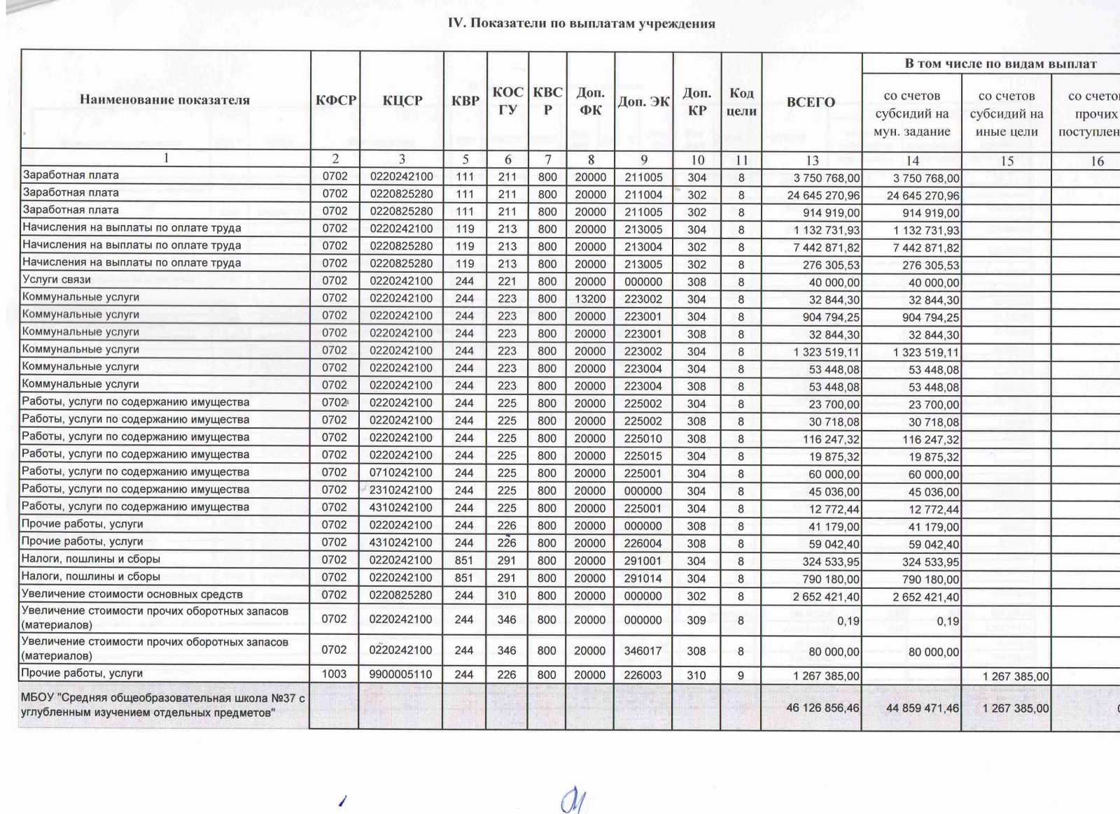
Показатели по выплатам учреждения_1
Показатели по выплатам учреждения_2
Показатели финансового состояния на последнюю отчетную дату
Развитие и оптимизация деятельности муниципального учреждения
План финансово-хозяйской деятельности на 2019 год
Сведения о деятельности муниципального учреждения
Показатели по поступлениям муниципального учреждения
Показатели по выплатам учреждения
Показатели по выплатам учреждения (продолжение)
Мероприятия по развитию и оптимизации деятельности муниципального учреждения
Отчет о выполнении муниципального задания №1
Отчет об исполнении учрежденем плана его финансово-хозяйственной деятельности на 01.01.2019
Отчет о выполнении муниципального задания №1 на 2019 год и плановый период 2020-2021
Муниципальное задание №1 на 2020 год и плановый период 2021-2022
План финансово-хозяйственной деятельности на 2020 год
Отчет об исполнении учрежденем плана его финансово-хозяйственной деятельности на 01.01.2020
План финансово-хозяйственной деятельности на 2021 год
Отчет об исполнении учрежденем плана его финансово-хозяйственной деятельности на 01.01.2021
Отчет о выполнении муниципального задания №1 на 2021 год и плановый период 2022-2023
Муниципальное задание №1 на 2022 год и плановый период 2023-2024 годов
Отчет об исполнении учрежденем плана его финансово-хозяйственной деятельности на 01.01.2022
О минимальном размере оплаты труда и минимальной заработной плате с 01.01.2023 в РТ







