• Информируем вас, что с 1 января 2024 года оценки и расписание доступны в новой версии Электронного образования по адресу ms-edu.tatar.ru. В данной версии электронного дневника вы можете продолжать смотреть ранее полученные оценки.
    С более подробной информацией можно ознакомиться на сайте: info.edu.tatar.ru.

Электронное образование Республики Татарстан

муниципальное автономное дошкольное образовательное учреждение «Детский сад присмотра и оздоровления для тубинфицированных детей №60» Нижнекамского муниципального района Республики Татарстан/ Татарстан Республикасы Түбән Кама муниципаль районы «60 нчы номерлы тубинфекцияле балаларны карау һәм сәламәтләндерү балалар бакчасы» муниципаль автоном мәктәпкәчә белем бирү учреждениесе

Решаем вместе
Есть предложения по организации учебного процесса или знаете, как сделать школу лучше?

Визитная карточка

Адрес: г. Нижнекамск, пр-кт. Вахитова, д. 16А
Телефон: +7(855)-536-69-98
E-Mail: mbdou60@mail.ru
Министерство: Министерство образования и науки Республики Татарстан
Короткое название: МАДОУ "Детский сад присмотра и оздоровления для тубинфицированных детей №60"
Руководитель: Шафигуллина Марина Анатольевна
Год основания учреждения: 1987
У нас учатся: 168
У нас учат: 27

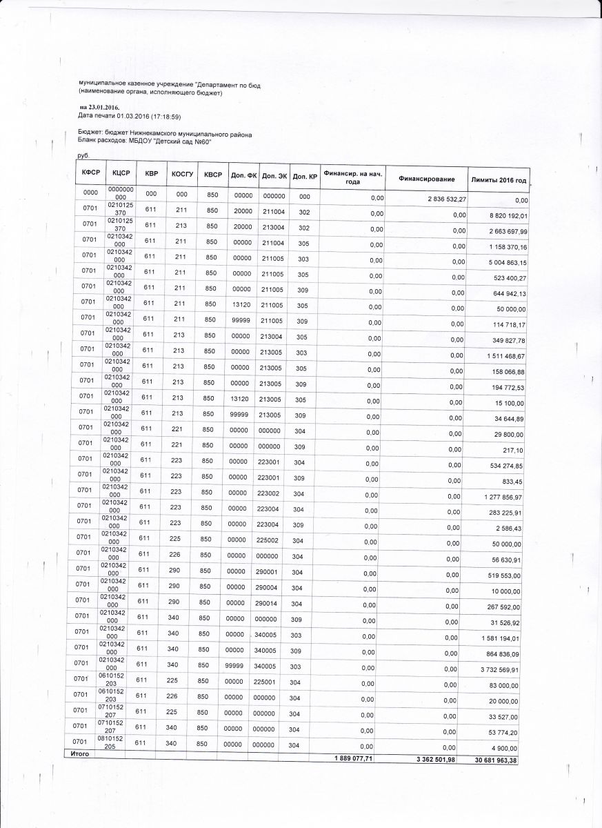
Бланк расходов МБДОУ № 60

/Бланк расходов МБДОУ № 60