• Информируем вас, что с 1 января 2024 года оценки и расписание доступны в новой версии Электронного образования по адресу ms-edu.tatar.ru. В данной версии электронного дневника вы можете продолжать смотреть ранее полученные оценки.
    С более подробной информацией можно ознакомиться на сайте: info.edu.tatar.ru.

Электронное образование Республики Татарстан

Муниципальное бюджетное общеобразовательное учреждение «Большеатрясская начальная общеобразовательная школа» Тетюшского муниципального района Республики Татарстан/Татарстан Республикасы Тәтеш муниципаль районы «Зур Әтрәч башлангыч гомуми белем бирү мәктәбе» муниципаль бюджет гомуми белем бирү учреждениесе

Решаем вместе
Есть предложения по организации учебного процесса или знаете, как сделать школу лучше?

Визитная карточка

Адрес: 422378, Республика Татарстан, Тетюшский район, село Большие Атряси, ул Молодежная дом 1В
Телефон: +7(843)-735-83-77
E-Mail: SBatrs.Tet@tatar.ru
Министерство: Министерство образования и науки Республики Татарстан
Короткое название: МБОУ "Большеатрясская НОШ"
Руководитель: Нафигина Нурфия Гумеровна
Год основания учреждения: 1987
У нас учатся: 9 обучающихся
У нас учат: 4 учителя

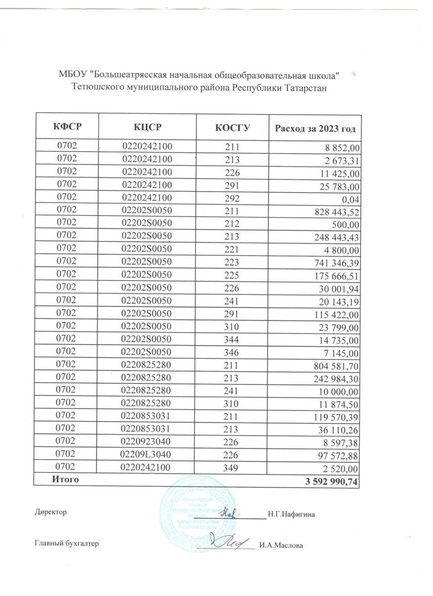
Информация о расходовании финансовых и материальных средств по итогам финансового 2023 года