Муниципальное бюджетное общеобразовательное учреждение «Федоровская начальная общеобразовательная школа» Тетюшского муниципального района Республики Татарстан
Визитная карточка
| Адрес: | 422380 Республика Татарстан, Тетюшский район, с.Федоровка, ул. Школьная, д.1 |
| Телефон: | +7(843)-735-70-06 |
| E-Mail: | Nsfedorov.Tet@tatar.ru |
| Министерство: | Министерство образования и науки Республики Татарстан |
| Короткое название: | МБОУ "Федоровская НОШ" |
| Руководитель: | Кулумбегова Наталья Павловна |
| Год основания учреждения: | 2002 |
| У нас учатся: | 6 обучающихся/иностранные граждане не обучаются |
| У нас учат: | 3 учителя/ язык обучения - русский |
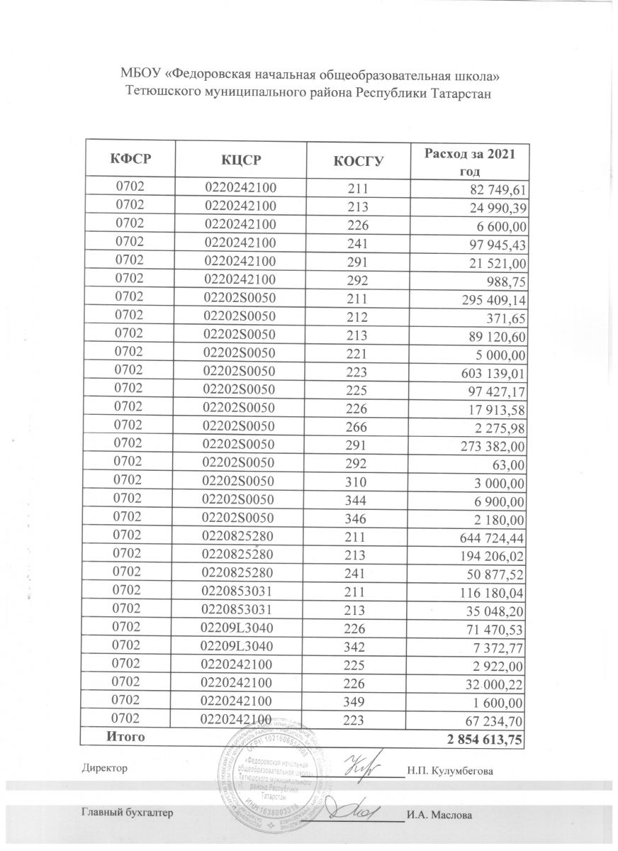
План финансово-хозяйственной деятельности
План финансово-хозяйственной деятельности на 2022 и 2023гг.













