Муниципальное бюджетное дошкольное образовательное учреждение «Арский детский сад №10» Арского муниципального района Республики Татарстан
Визитная карточка
| Адрес: | 422000, г. Арск, ул. Банковская, д. 29 |
| Телефон: | +7(843)-663-20-12 |
| E-Mail: | ds10.arsk@tatar.ru |
| Министерство: | Министерство образования и науки Республики Татарстан |
| Короткое название: | МБДОУ "Арский детский сад №10" Арского муниципального района РТ |
| Руководитель: | Гиззатуллина Фания Даниловна |
| Год основания учреждения: | 1990 |
| У нас учатся: | 178 детей |
| У нас учат: | 18 педагогов |
Финансово-хозяйственная деятельность/Финанс-хуҗалык эшчәнлеге
Отчет_об_испол_плана_фин-хоз_деят_ .xlsx
отчет физ-хоз деят на 01_01_2022.rar
ПланФинансовоХозяйственнойДеятельности2020.xls
Отчет фин-хоз деят_ январь 2019.docx
отчет 2 об исполнюфин-хоз_деят.pdf
отчет 1 об исполнении фин-хоз_деятельн.pdf
План фин-хоз.деятельности на 2019 годjpg
ПланФинансовоХозяйственнойДеятельности_Печатная_форма_МДОУ Арский детский сад №10 (2).xls
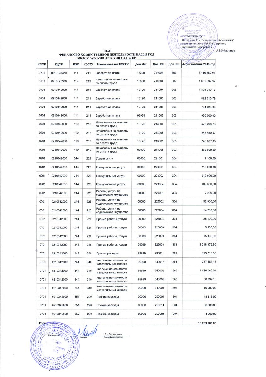
/План фин-хоз деятельности на 2018 г.jpg
План финансово-хозяйственной деятельности на 2017 г. .xls







