МБОУ «Средняя общеобразовательная школа №43» Ново-Савиновского района г. Казани
Визитная карточка
| Адрес: | 420044, г. Казань, ул. Восстания, д. 8А |
| Телефон: | +7(843)-520-93-09 |
| E-Mail: | S43.kzn@ya.ru |
| Министерство: | Министерство образования и науки Республики Татарстан |
| Короткое название: | МБОУ "Школа №43" |
| Руководитель: | Фатхутдинова Гульнара Асфатовна |
| Год основания учреждения: | 1962 |
| У нас учатся: | 850 учащихся |
| У нас учат: | 40 педагогов |
ОЛИМПИАДЫ. ОЛИМПИАДАЛАР.
2023 - 2024 учебный год
Всероссийская и республиканская олимпиады школьников
ТЕЛЕФОНЫ ГОРЯЧЕЙ ЛИНИИ
МБУДО "Городской центр творческого развития и гуманитарного образования для одаренных детей г.Казани"
+7(843)-264-50-40
+7(843)-236-55-88
+7(843)-236-55-83
Приказ Министерства Образования РТ о проведении школьного этапа олимпиады
Приказ Управления Образования РТ о проведении школьного этапа олимпиады
Школьный приказ о проведении школьного этапа олимпиады
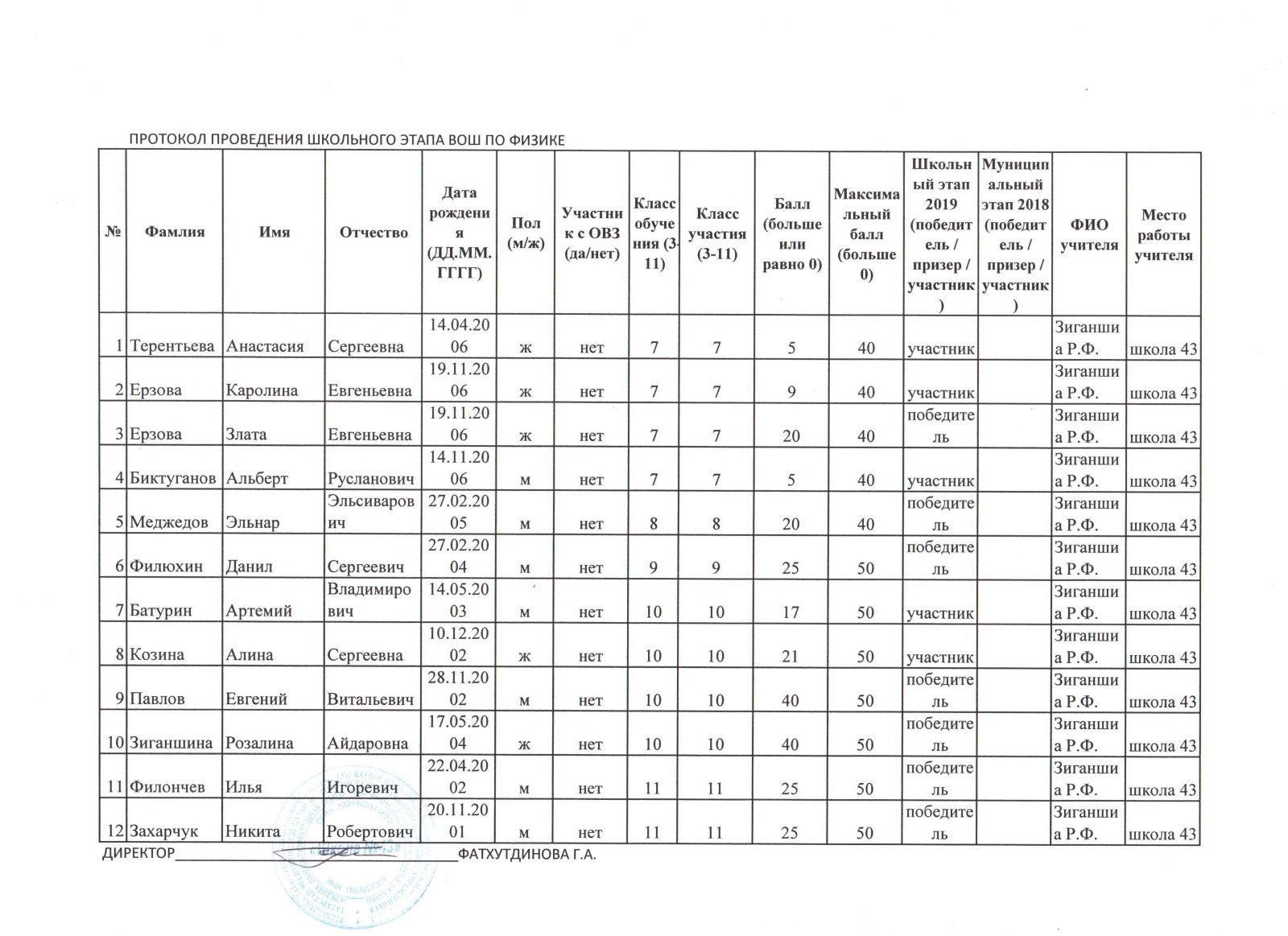
Итоги школьного этапа олимпиады
протокол физическая культура.xlsx
2022 - 2023 учебный год
Всероссийская и республиканская олимпиады школьников
ТЕЛЕФОНЫ ГОРЯЧЕЙ ЛИНИИ
МБУДО "Городской центр творческого развития и гуманитарного образования для одаренных детей г.Казани"
+7(843)-264-50-40
+7(843)-236-55-88
+7(843)-236-55-83
Приказ Министерства Образования и Науки Республики Татарстан
Приказ Управления Образования г.Казани
Методические рекомендации к школьному этапу
Приказ Управления Образования о проведении мунципального этапа ВСОШ
Приказ о пунктах проведения олимпиад
Порядок проведения Муниципального этапа ВСОШ
Итоги школьного этапа олимпиады
протокол по татарскому языку .xlsx
протокол по английскому языку.xlsx
протокол по основам безопасности жизнедеятельности.xlsx
протокол по обществознанию .xlsx
протокол по физической культуре.xlsx
Всероссийская и республиканская олимпиады школьников
ТЕЛЕФОНЫ ГОРЯЧЕЙ ЛИНИИ
МБУДО "Городской центр творческого развития и гуманитарного образования для одаренных детей г.Казани"
+7(843)-264-50-40
+7(843)-236-55-88
+7(843)-236-55-83
НОРМАТИВНЫЕ ДОКУМЕНТЫ
2021/2022 учебный год
Приказ о проведении муниципального этапа олимпиад Управления образования г.Казани
Приказ о внесении изменений в приказ о проведении олимпиад Управления образования г.Казани
Приказ Министерства образования РТ о проведении муниципального этапа олимпиад
Приказ районного отдела образования о проведении муниципального этапа олимпиад
Приказ по МБОУ "Школа № 43" о проведении муниципального этапа олимпиад
Итоги школьного этапа:
Протокол по истории Татарстана и татарского народа
Протокол по родному (татарскому) языку для русскоязычных обучающихся
Протокол по родному(татарскому) языку для обучающихся татар школ с русским языком обучения
Протокол по родной(татарской) литературе для обучающихся - татар школ с русским языком обучения
Протокол по физической культуре
2020/2021 учебный год
Итоги школьного этапа:
основы безопасности жизнедеятельности 1
основы безопасности жизнедеятельности 2
основы безопасности жизнедеятельности 3
основы безопасности жизнедеятельности 4
основы безопасности жизнедеятельности 5
Муниципальный этап
О внесении изменений в приказ УО ИКМО г.Казани от 02.11.2020 №717
Приказ УО по базовым площадкам
Итоговые протоколы
Астрономия Итоговый протокол
Право Итоговый протокол
Экономика Итоговый протокол
Математика Итоговый протокол
Экология Итоговый протокол
Немецкий язык Итоговый протокол
Французский язык Итоговый протокол
Русский язык Итоговый протокол
Искусство (МХК) Итоговый протокол
История Итоговый протокол
Информатика Итоговый протокол
Испанский язык Итоговый протокол
Итальянский язык Итоговый протокол
Китайский язык Итоговый протокол
Обществознание Итоговый протокол
Литература Итоговый протокол
География Итоговый протокол
Физика Итоговый протокол
Биология Итоговый протокол
Физическая культура Итоговый протокол
Химия Итоговый протокол
Английский язык Итоговый протокол
Технология Итоговый протокол Мальчики Девочки
Региональный и заключительный этап
Письмо о баллах для участия в заключительном этапе
Список приглашенных на региональный этап ВОШ
Список приглашённых на региональный этап ВсОШ / заключительный этап РОШ
-
-
2019/2020 учебный год
- Приказ Управления образования г.Казани по проведению школьного этапа Всероссийской и Республиканской олимпиады в 2019-2020г.
- Приказ отдела образования ИКМО по Авиастроительному и Ново-Савиновскому районам Г.Казани школьного этапа Всероссийской и Республиканской олимпиады в 2019-2020 учебном году
- Приказ РОО № 924 от 25 октября 2019г
- Приказ РОО Об организации и проведении муниципального этапа Всероссийской и Республиканской предметной олимпиады школьников в 2019/2020 учебном году №494-о от 30.10.2019
- Приказ по МБОУ об организации и проведении муниципального этапа Всероссийской и Республиканской предметной олимпиады школьников в 2019/2020 учебном году
-
График проведения школьного этапа Всероссийской и Республиканской олимпиады
-
Итоги школьного этапа:
-
Всесибирская олимпиада школьников
Учащимся 7-11 классов, имеющим хорошую подготовку по математике, физике, химии и информатике!
Для участия в олимпиаде необходимо совместно со своим учителем-предметником зарегистрироваться на сайте http://vsesib.nsesc.ru/
Желаем успехов будущим участникам Олимпиады!
-
Полезные ссылки
Прсветительский центр "Новая школа". Всероссийский турнир "Осенний марафон" http://n-sh.org/
Фактор роста. Дистанционное образование, курсы, конкурсы, викторины и олимпиады. http://www.farosta.ru/
"Русский медвежонок" - языкознание для всех http://www.rm.kirov.ru/
"Кенгуру" http://http://www.rm.kirov.ru/
Центр развития молодёжи (ЭМУ) http://cerm.ru/
Центр творческих инициатив "Snail" http://http://www.nic-snail.ru/
Сайт по матемактике http://obmir.ru/
"Эрудиты планеты" http://www.erudites.ru/
"Умник" - Всероссийский детский интернет-фестиваль. Проекты и конкурсы круглый год. http://http://www.childfest.ru/
Математика - для развития детей http://www.develop-kinder.com/















